유기화학의 공명구조에 대해 자세히 알아보겠습니다. 공명구조는 유기화학에서 매우 중요한 개념으로, 분자의 전자 구조를 이해하는 데 도움을 줍니다. 이번 포스트에서는 공명구조의 개념, 중요성, 다양한 예시 등을 살펴보겠습니다.
공명구조란 분자의 전자 배치가 여러 가지 방식으로 표현될 수 있는 상태를 말합니다. 즉, 같은 원자 배치를 가진 분자가 여러 가지 전자 구조를 가질 수 있다는 것을 의미합니다. 이로 인해 분자의 실제 구조는 여러 공명구조의 결합으로 나타난다고 할 수 있습니다.
1. 공명구조의 중요성과 특징
공명구조는 분자의 안정성과 반응성을 결정하는 데 중요한 역할을 합니다. 특히, 전자가 비편재화되어 있거나 여러 구조가 가능할 때, 이러한 공명구조는 분자의 에너지를 낮추고 안정성을 높여주는 효과를 가지고 있습니다.
2. 유기화학에서의 공명구조 예시
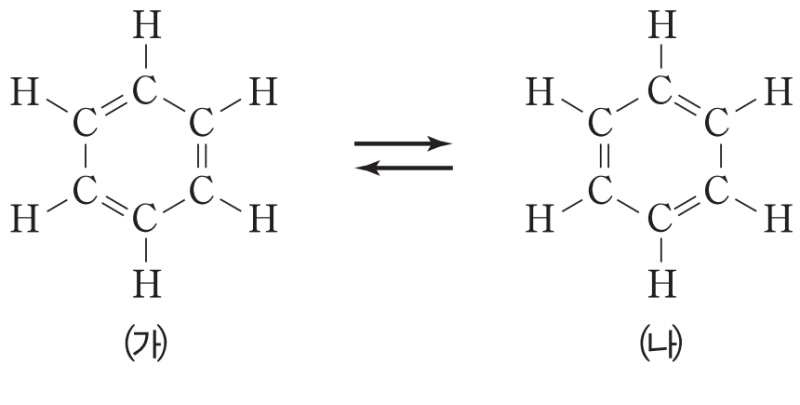
대표적인 공명구조의 예로 벤젠이 있습니다. 벤젠은 C6H6으로, 서로 연결된 6개의 탄소 원자가 한 평면에 위치하며, 전자가 고르게 분포되어 있습니다. 벤젠의 구조는 아래와 같이 두 가지 공명구조로 표현될 수 있습니다.

3. 벤젠의 공명구조 자세히 보기
벤젠의 공명구조는 두 가지로 나뉘며, 이를 공명구조(가)와 공명구조(나)로 표시할 수 있습니다. 각 구조는 이중 결합의 위치가 다르게 나타나며, 이 두 구조는 실제 벤젠의 구조를 잘 설명해줍니다. 따라서 벤젠의 실제 결합 차수는 1.5로 설명됩니다.

4. 기타 공명구조 예시: 카보네이트 이온
또한, 카보네이트 이온(CO3^2-)의 공명구조도 주목할 만합니다. 이 이온은 중앙의 탄소 원자가 세 개의 산소 원자와 결합해 있으며, 다양한 전자 배치가 가능합니다. 첫 번째 구조에서는 한 개의 이중 결합과 두 개의 단일 결합이 존재하며, 다른 구조들에서는 이중 결합이 다른 산소 원자와 결합하게 됩니다. 이러한 공명구조는 이온의 전자 분포를 균일하게 만들어줍니다.

5. 공명구조와 분자 안정성의 관계
공명구조는 분자의 안정성을 높이는 중요한 요소입니다. 분자의 전자가 여러 구조에서 비편재화되면 전체 에너지가 감소하게 되고, 이로 인해 분자는 더욱 안정한 상태를 유지하게 됩니다. 즉, 공명구조가 다양한 경우일수록 더욱 안정한 분자를 형성할 수 있습니다.
6. 공명구조의 응용 및 실제 사례
유기화학에서는 공명구조가 나중에 분자의 반응성을 예측하는 데 중요합니다. 특정 화합물의 공명구조를 알아내면, 해당 화합물이 어떻게 반응할지, 어떤 반응 경로를 따를지 예측할 수 있습니다. 이러한 이해는 약물 개발이나 재료 과학에서 많은 응용이 가능합니다.
7. 마무리 및 참고 자료
공명구조는 유기화학을 이해하는 데 필수적인 요소로서, 다양한 분자의 구조와 반응성을 이해하는 데 많은 도움이 됩니다. 더 알고 싶은 내용이 있다면 아래의 링크를 참고하시기 바랍니다.
(위의 링크들은 유기화학의 공명구조에 대한 더 많은 정보를 제공하니 참고하시기 바랍니다.)
(이미지를 통해 각 공명구조를 시각적으로도 이해할 수 있기를 바랍니다.)


이렇게 유기화학의 공명구조에 대해 알아보았습니다. 이 내용이 유기화학을 이해하는 데 도움이 되기를 바랍니다.
태그
#유기화학 #공명구조 #벤젠 #화학 #분자구조 #전문지식 #화학반응 #카보네이트이온
이런 자료를 참고 했어요.
[1] NAVER - [유기화학] 공명구조 정복하기 - 네이버블로그 (https://blog.naver.com/lily4369/221865429347)
[2] 네이버 블로그 - 유기화학 공명구조 실제구조를 밝히는 해법 - 네이버 블로그 (https://m.blog.naver.com/aserawer2/221409654537)
[3] 티스토리 - [유기화학] 2-4. 공명 (Resonance) - LAB-log - 티스토리 (https://lab-log.tistory.com/entry/%EC%9C%A0%EA%B8%B0%ED%99%94%ED%95%99-2-4-%EA%B3%B5%EB%AA%85-Resonance)
[4] 나무위키 - 공명 구조 (https://namu.wiki/w/%EA%B3%B5%EB%AA%85%20%EA%B5%AC%EC%A1%B0)
'과학' 카테고리의 다른 글
| 주기율표란? (0) | 2025.02.25 |
|---|---|
| 유기화학의 산과 염기 반응과 예시 (0) | 2025.02.08 |
| 유기화학의 공명구조 개요 (0) | 2025.02.08 |
| E1 반응과 E2 반응 (0) | 2025.02.08 |
| 유기화학 e1과 e2 반응 (0) | 2025.02.08 |