유기화학의 공명구조 개요
유기화학의 공명구조에 대해 자세히 설명드리겠습니다. 공명구조는 유기화학에서 매우 중요한 개념으로, 분자의 전자 분포를 이해하는 데 큰 도움을 줍니다. 이번 포스팅에서는 공명구조의 정의, 예시, 특징, 그리고 응용에 대해 알아보겠습니다.
유기화학에서 공명구조는 분자의 전자 밀도가 고르게 분포되어 있지 않을 때, 여러 가지 구조로 나타낼 수 있는 현상을 의미합니다. 이러한 구조는 분자의 실제 구조를 더 잘 이해할 수 있도록 도와줍니다. 공명구조는 특히 방향족 화합물에서 자주 나타나며, 이로 인해 분자의 안정성을 높이는 역할을 합니다.
공명구조의 정의와 중요성
공명구조는 특정 분자가 여러 가지 형태로 존재할 수 있음을 나타내며, 이들 구조는 서로 다른 전자 배치를 가집니다. 이러한 구조들은 서로 다른 에너지를 가지며, 실제 분자는 이들 구조의 혼합 형태로 존재합니다. 공명구조를 이해하는 것은 화학 반응의 메커니즘을 이해하는 데 필수적입니다.
공명구조의 예시
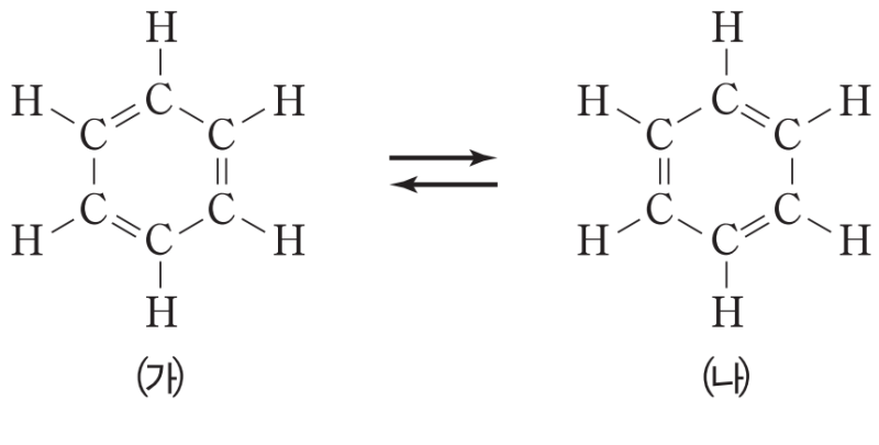
벤젠의 공명구조
벤젠은 가장 잘 알려진 공명구조의 예시 중 하나입니다. 벤젠은 C6H6의 화학식을 가지며, 두 가지 공명구조를 가집니다. 이 구조들은 서로 다른 이중 결합의 위치를 보여주며, 실제 벤젠 분자는 이 두 구조의 혼합 형태로 존재합니다.

탄산 이온의 공명구조
탄산 이온(CO3^2-)은 세 개의 산소 원자가 중앙의 탄소 원자와 결합된 구조를 가지고 있습니다. 이 이온은 두 개의 공명구조를 가지며, 이 구조들은 전자가 어떻게 이동하는지를 보여줍니다.

아세트산 이온의 공명구조
아세트산 이온(C2H3O2^-)은 두 개의 산소 원자와 결합된 탄소 원자를 포함하고 있습니다. 이 이온은 두 가지 공명구조를 가지며, 이 구조들은 전자의 분포를 설명하는 데 유용합니다. 이러한 공명구조는 아세트산의 화학적 성질을 이해하는 데 도움을 줍니다.
공명구조의 특징
공명구조의 가장 큰 특징은 전자의 비대칭 분포입니다. 이는 분자의 안정성을 높이는 데 기여하며, 화학 반응에서의 반응성을 결정짓는 중요한 요소입니다. 또한, 공명구조는 분자의 결합 차수를 결정하는 데도 중요한 역할을 합니다.
공명구조의 응용
공명구조는 유기화학에서 다양한 응용이 있습니다. 예를 들어, 약물 설계나 화학 합성에서 공명구조를 이해하는 것은 매우 중요합니다. 이는 분자의 반응성을 예측하고, 새로운 화합물을 설계하는 데 도움을 줍니다.
마무리 및 참고 자료
공명구조는 유기화학에서 매우 중요한 개념으로, 분자의 전자 분포를 이해하는 데 필수적입니다. 다양한 예시를 통해 공명구조의 중요성을 살펴보았습니다. 더 많은 정보를 원하신다면 아래의 링크를 참고하시기 바랍니다.
이 포스팅이 유기화학의 공명구조를 이해하는 데 도움이 되길 바랍니다.



태그
#유기화학 #공명구조 #벤젠 #탄산이온 #아세트산 #화학반응 #전자분포 #화합물설계
이런 자료를 참고 했어요.
[1] NAVER - [유기화학] 공명구조 정복하기 - 네이버블로그 (https://blog.naver.com/lily4369/221865429347)
[2] 네이버 블로그 - 유기화학 공명구조 실제구조를 밝히는 해법 - 네이버 블로그 (https://m.blog.naver.com/aserawer2/221409654537)
[3] 티스토리 - [유기화학] 2-4. 공명 (Resonance) - LAB-log - 티스토리 (https://lab-log.tistory.com/entry/%EC%9C%A0%EA%B8%B0%ED%99%94%ED%95%99-2-4-%EA%B3%B5%EB%AA%85-Resonance)
[4] 나무위키 - 공명 구조 (https://namu.wiki/w/%EA%B3%B5%EB%AA%85%20%EA%B5%AC%EC%A1%B0)